Hello,In the video at 7:46 and the photo below they say that a drop of 180 degrees and a massive peak is a sign of instability.
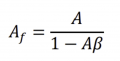
but in theory we have the formula taken from the attached article where they say that gain needs to be 1 (0dB) and phase 180 , because that way the denomiator will be 0 (unstable)
So how a peak of 20dB in theory will make the system unstable?
As i see it the transfer function will be stable with 20dB peak.
Thanks.


but in theory we have the formula taken from the attached article where they say that gain needs to be 1 (0dB) and phase 180 , because that way the denomiator will be 0 (unstable)
So how a peak of 20dB in theory will make the system unstable?
As i see it the transfer function will be stable with 20dB peak.
Thanks.





