Look at your starting point there.The capacitor equation i converted to Laplace transform.
View attachment 359511
The current direction shall be the same as shown in the circuit but i get negative it means it is flowing in the opposite direction to the one shown in the diagram which i feel is not correct.


There is something wrong if i calculate the voltage equation i am getting +Ve but the answer is -Ve. I need to re work again.If i(t) is positive, your equation says that dV/dt is positive, and therefore the voltage on the capacitor, v_c, is increasing (algebraically going from less positive to more positive).

Yes now i got the correct valuesLet's start with the fundamentals.
View attachment 359562
By the definition of capacitance, we have
\(
Q(t) \; = \; C \cdot v_c(t)
\)
But Q is just the time integral of i(t) and, if we have an initial charge of Qo at t=0, then
\(
Q(t) \; = \; Q_0 \; + \; \int_0^t i_c(t) \; dt \\
\frac{Q(t)}{C} \; = \; \frac{Q_0}{C} \; + \; \frac{1}{C}\int_0^t i_c(t) \; dt \\
v_c(t) \; = \; V_0 \; + \; \frac{1}{C}\int_0^t i_c(t) \; dt
\)
Now take the Laplace Transform of both sides:
\(
V_c(s) \; = \; \frac{V_0}{s} \; + \; \frac{I_c(s)}{Cs} \\
I_c(s) \; = \; Cs \cdot V_c(s) - CV_0
\)
This is for i_c(t), v_c(t), and Vo defined as shown above.
Carefully express the quantities defined in the diagram in terms of these quantities and you should get the correct answer.



Hello there,View attachment 359508
View attachment 359505
Fig1
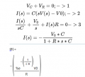
I am bit confused of the arrow direction of Vc and V0. The derivation is as below
View attachment 359507
I get that -Ve sign which is not available in the answer.
And in equation 2, should it be -V0 or +V0 for 250V initial voltage. Please guide me to write the correct equations.