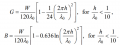
Hello,In microstrip patch antenna manual they say that as we increase W there will be more radiation because of fringing field increase then
"Q will reduce " and impedance will reduce.
Why Q will reduce and input impedance will reduce.
Is there some physical logic so i could understand the last part of the claim?
Thanks.


"Q will reduce " and impedance will reduce.
Why Q will reduce and input impedance will reduce.
Is there some physical logic so i could understand the last part of the claim?
Thanks.




