Hello, I have the a Control Block that I need to implement in C code.

Here is my math:
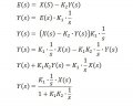
Y(s) = K1 E(s) (1/s)
E(s) = X(x) - K2 Y(s)
Now put E(s) in Y(s)
Y(s) = K1 (1/s)(X(s) - K2Y(s))
Y(s) = K1(1/s)X(s) - K1K2X(s)Y(s)
y(t) = K1 x(t) y(t-1) - K1K2 x(t) y(t)
I know my math is not right but can anyone help me please? If I can get y(t) I should be able to get in C code.
Thanks,
Joe

Here is my math:
Y(s) = K1 E(s) (1/s)
E(s) = X(x) - K2 Y(s)
Now put E(s) in Y(s)
Y(s) = K1 (1/s)(X(s) - K2Y(s))
Y(s) = K1(1/s)X(s) - K1K2X(s)Y(s)
y(t) = K1 x(t) y(t-1) - K1K2 x(t) y(t)
I know my math is not right but can anyone help me please? If I can get y(t) I should be able to get in C code.
Thanks,
Joe
Attachments
-
14.7 KB Views: 1










